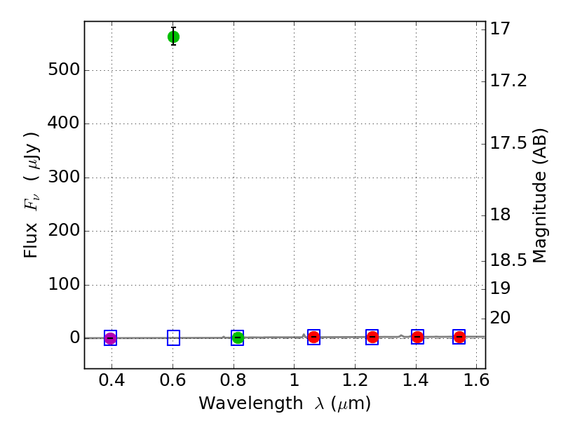
RXS0603+42-S IR detection object #2438

Color images and BPZ results
Catalog: 2438.cat
Black segments are analyzed here.   Roll mouse over color images to view segments.
Best viewed in a wide browser window (1200 pixels or more).   Download SED & P(z) plots to view larger versions.
In P(z) plots: Yellow lines mark the cluster redshift z = 0.228,  

Object #2438   x,y = (2797, 3199)   RA, Dec = (06:03:24.816, 42:10:38.28) = (90.85340, 42.17730)   BPZ = 1.061 [0.986--1.083]   type = 8.00 (SB1_B10)   stellarity = 1.00   chisq2 = 288.90   ODDS = 0.99   z_cluster = 0.228