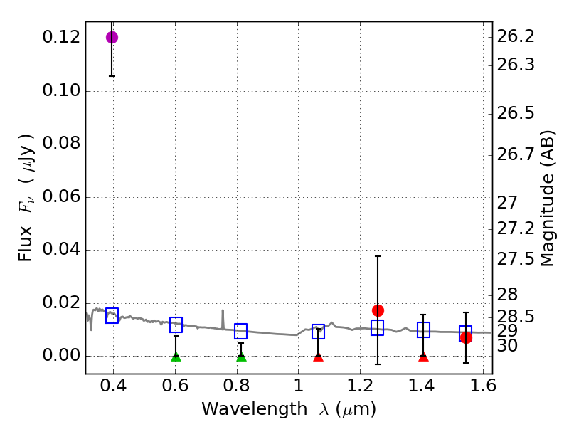
RXS0603+42-S IR detection object #2411

Color images and BPZ results
Catalog: 2411.cat
Black segments are analyzed here.   Roll mouse over color images to view segments.
Best viewed in a wide browser window (1200 pixels or more).   Download SED & P(z) plots to view larger versions.
In P(z) plots: Yellow lines mark the cluster redshift z = 0.228,  

Object #2411   x,y = (3301, 3341)   RA, Dec = (06:03:22.104, 42:10:46.92) = (90.84210, 42.17970)   BPZ = 1.697 [0.400--4.576]   type = 11.00 (SB11_A_0_l)   stellarity = 0.35   chisq2 = 14.30   ODDS = 0.16   z_cluster = 0.228