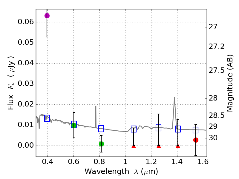
RXS0603+42-S IR detection object #2404

Color images and BPZ results
Catalog: 2404.cat
Black segments are analyzed here.   Roll mouse over color images to view segments.
Best viewed in a wide browser window (1200 pixels or more).   Download SED & P(z) plots to view larger versions.
In P(z) plots: Yellow lines mark the cluster redshift z = 0.228,  

Object #2404   x,y = (3284, 3345)   RA, Dec = (06:03:22.176, 42:10:46.92) = (90.84240, 42.17970)   BPZ = 1.763 [0.448--5.022]   type = 11.00 (SB11_A_0_l)   stellarity = 0.38   chisq2 = 6.95   ODDS = 0.17   z_cluster = 0.228