RXS0603+42-S IR detection object #2384

Color images and BPZ results
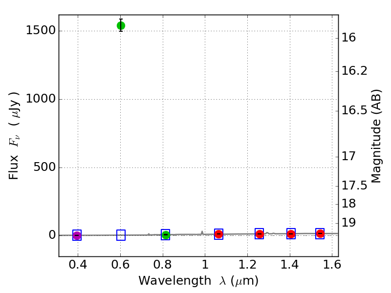
Catalog: 2384.cat
Black segments are analyzed here.   Roll mouse over color images to view segments.
Best viewed in a wide browser window (1200 pixels or more).   Download SED & P(z) plots to view larger versions.
In P(z) plots: Yellow lines mark the cluster redshift z = 0.228,  

Object #2384   x,y = (2821, 3262)   RA, Dec = (06:03:24.672, 42:10:41.88) = (90.85280, 42.17830)   BPZ = 0.970 [0.593--1.016]   type = 7.50 (SB1_B10 - Scd_B10)   stellarity = 1.00   chisq2 = 286.40   ODDS = 0.59   z_cluster = 0.228