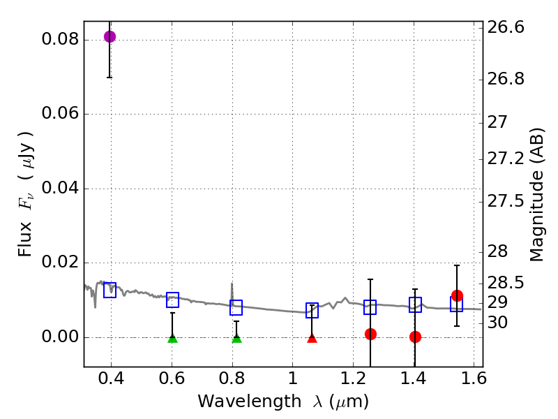
RXS0603+42-S IR detection object #2333

Color images and BPZ results
Catalog: 2333.cat
Black segments are analyzed here.   Roll mouse over color images to view segments.
Best viewed in a wide browser window (1200 pixels or more).   Download SED & P(z) plots to view larger versions.
In P(z) plots: Yellow lines mark the cluster redshift z = 0.228,  

Object #2333   x,y = (2170, 3399)   RA, Dec = (06:03:28.200, 42:10:50.16) = (90.86750, 42.18060)   BPZ = 1.856 [0.526--6.788]   type = 11.00 (SB11_A_0_l)   stellarity = 0.41   chisq2 = 11.23   ODDS = 0.16   z_cluster = 0.228