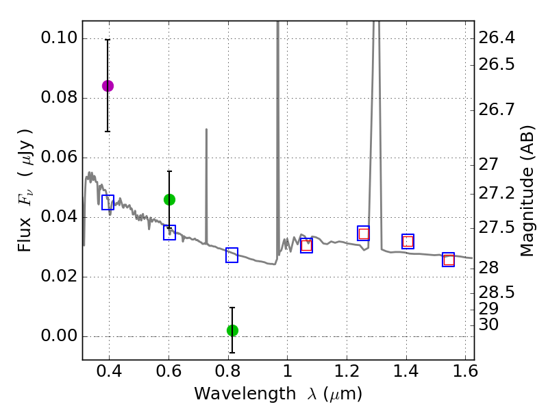
RXS0603+42-S IR detection object #2332

Color images and BPZ results
Catalog: 2332.cat
Black segments are analyzed here.   Roll mouse over color images to view segments.
Best viewed in a wide browser window (1200 pixels or more).   Download SED & P(z) plots to view larger versions.
In P(z) plots: Yellow lines mark the cluster redshift z = 0.228,  

Object #2332   x,y = (3963, 3382)   RA, Dec = (06:03:18.528, 42:10:49.08) = (90.82720, 42.18030)   BPZ = 1.596 [1.211--2.415]   type = 11.00 (SB11_A_0_l)   stellarity = 0.36   chisq2 = 16.87   ODDS = 0.27   z_cluster = 0.228