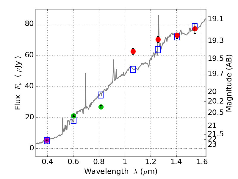
RXS0603+42-S IR detection object #2322

Color images and BPZ results
Catalog: 2322.cat
Black segments are analyzed here.   Roll mouse over color images to view segments.
Best viewed in a wide browser window (1200 pixels or more).   Download SED & P(z) plots to view larger versions.
In P(z) plots: Yellow lines mark the cluster redshift z = 0.228,  

Object #2322   x,y = (2890, 3166)   RA, Dec = (06:03:24.312, 42:10:36.12) = (90.85130, 42.17670)   BPZ = 0.393 [0.083--0.419]   type = 6.50 (Scd_B10 - Sbc_B10)   stellarity = 0.92   chisq2 = 2.05   ODDS = 0.91   z_cluster = 0.228