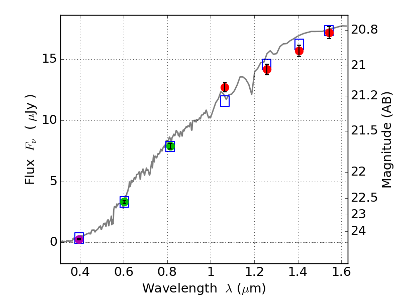
RXS0603+42-S IR detection object #2289

Color images and BPZ results
Catalog: 2289.cat
Black segments are analyzed here.   Roll mouse over color images to view segments.
Best viewed in a wide browser window (1200 pixels or more).   Download SED & P(z) plots to view larger versions.
In P(z) plots: Yellow lines mark the cluster redshift z = 0.228,  

Object #2289   x,y = (1915, 3337)   RA, Dec = (06:03:29.568, 42:10:46.56) = (90.87320, 42.17960)   BPZ = 0.394 [0.279--0.425]   type = 4.00 (Ell4_A_0)   stellarity = 0.98   chisq2 = 0.29   ODDS = 0.80   z_cluster = 0.228