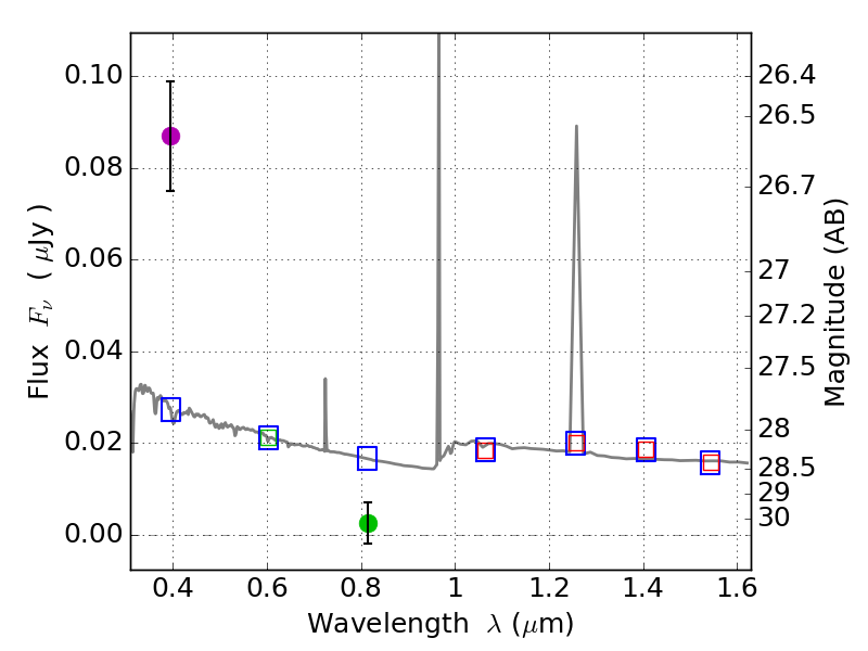
RXS0603+42-S IR detection object #2273

Color images and BPZ results
Catalog: 2273.cat
Black segments are analyzed here.   Roll mouse over color images to view segments.
Best viewed in a wide browser window (1200 pixels or more).   Download SED & P(z) plots to view larger versions.
In P(z) plots: Yellow lines mark the cluster redshift z = 0.228,  

Object #2273   x,y = (1548, 3429)   RA, Dec = (06:03:31.560, 42:10:51.96) = (90.88150, 42.18110)   BPZ = 1.595 [1.048--2.369]   type = 11.00 (SB11_A_0_l)   stellarity = 0.50   chisq2 = 32.52   ODDS = 0.27   z_cluster = 0.228