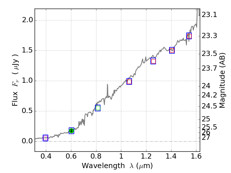
RXS0603+42-S IR detection object #2269

Color images and BPZ results
Catalog: 2269.cat
Black segments are analyzed here.   Roll mouse over color images to view segments.
Best viewed in a wide browser window (1200 pixels or more).   Download SED & P(z) plots to view larger versions.
In P(z) plots: Yellow lines mark the cluster redshift z = 0.228,  

Object #2269   x,y = (4451, 3424)   RA, Dec = (06:03:15.888, 42:10:51.60) = (90.81620, 42.18100)   BPZ = 0.781 [0.201--4.970]   type = 6.10 (Sbc_B10 - Scd_B10)   stellarity = 0.75   chisq2 = 990.00   ODDS = 0.08   z_cluster = 0.228