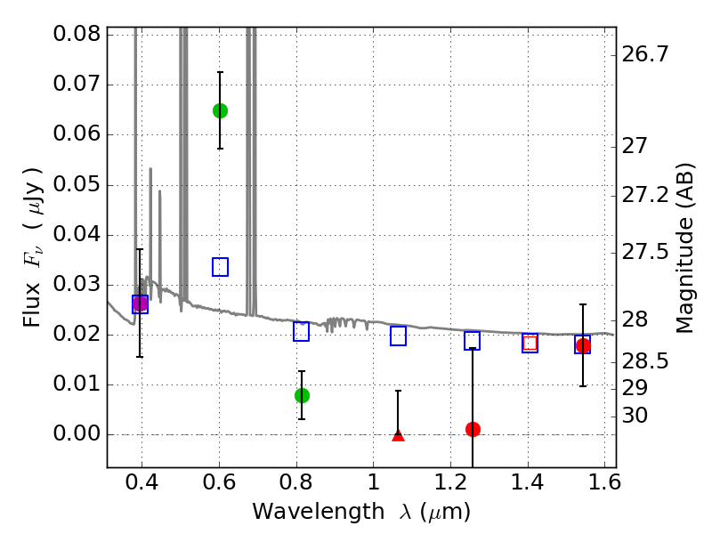
RXS0603+42-S IR detection object #2256

Color images and BPZ results
Catalog: 2256.cat
Black segments are analyzed here.   Roll mouse over color images to view segments.
Best viewed in a wide browser window (1200 pixels or more).   Download SED & P(z) plots to view larger versions.
In P(z) plots: Yellow lines mark the cluster redshift z = 0.228,  

Object #2256   x,y = (2713, 3431)   RA, Dec = (06:03:25.272, 42:10:52.32) = (90.85530, 42.18120)   BPZ = 0.029 [0.020--2.994]   type = 11.00 (SB11_A_0_l)   stellarity = 0.36   chisq2 = 9.08   ODDS = 0.12   z_cluster = 0.228