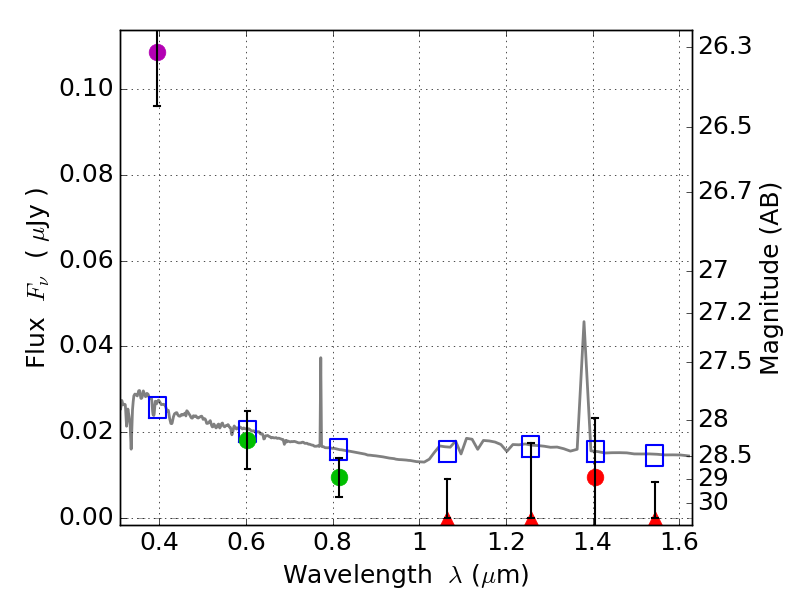
RXS0603+42-S IR detection object #2218

Color images and BPZ results
Catalog: 2218.cat
Black segments are analyzed here.   Roll mouse over color images to view segments.
Best viewed in a wide browser window (1200 pixels or more).   Download SED & P(z) plots to view larger versions.
In P(z) plots: Yellow lines mark the cluster redshift z = 0.228,  

Object #2218   x,y = (3025, 3456)   RA, Dec = (06:03:23.592, 42:10:53.76) = (90.84830, 42.18160)   BPZ = 1.763 [0.930--2.437]   type = 11.00 (SB11_A_0_l)   stellarity = 0.09   chisq2 = 12.50   ODDS = 0.36   z_cluster = 0.228