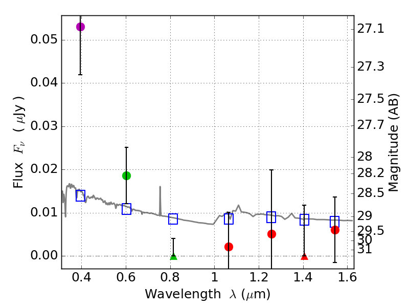
RXS0603+42-S IR detection object #2193

Color images and BPZ results
Catalog: 2193.cat
Black segments are analyzed here.   Roll mouse over color images to view segments.
Best viewed in a wide browser window (1200 pixels or more).   Download SED & P(z) plots to view larger versions.
In P(z) plots: Yellow lines mark the cluster redshift z = 0.228,  

Object #2193   x,y = (2739, 3465)   RA, Dec = (06:03:25.128, 42:10:54.12) = (90.85470, 42.18170)   BPZ = 1.700 [0.353--3.354]   type = 11.00 (SB11_A_0_l)   stellarity = 0.36   chisq2 = 4.79   ODDS = 0.17   z_cluster = 0.228