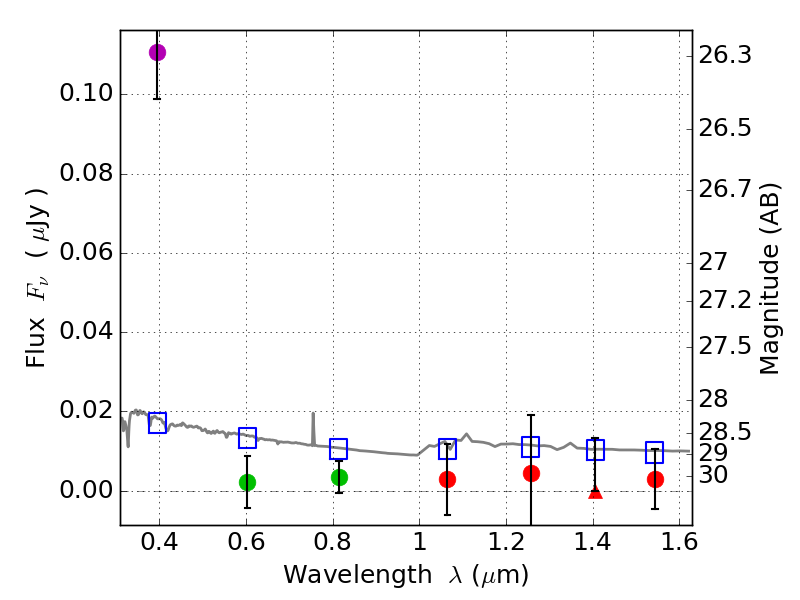
RXS0603+42-S IR detection object #2190

Color images and BPZ results
Catalog: 2190.cat
Black segments are analyzed here.   Roll mouse over color images to view segments.
Best viewed in a wide browser window (1200 pixels or more).   Download SED & P(z) plots to view larger versions.
In P(z) plots: Yellow lines mark the cluster redshift z = 0.228,  

Object #2190   x,y = (2766, 3468)   RA, Dec = (06:03:24.984, 42:10:54.48) = (90.85410, 42.18180)   BPZ = 1.700 [0.652--2.571]   type = 11.00 (SB11_A_0_l)   stellarity = 0.39   chisq2 = 17.16   ODDS = 0.28   z_cluster = 0.228