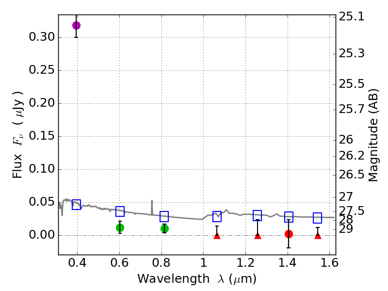
RXS0603+42-S IR detection object #2181

Color images and BPZ results
Catalog: 2181.cat
Black segments are analyzed here.   Roll mouse over color images to view segments.
Best viewed in a wide browser window (1200 pixels or more).   Download SED & P(z) plots to view larger versions.
In P(z) plots: Yellow lines mark the cluster redshift z = 0.228,  

Object #2181   x,y = (2181, 3469)   RA, Dec = (06:03:28.128, 42:10:54.48) = (90.86720, 42.18180)   BPZ = 1.700 [1.428--2.102]   type = 11.00 (SB11_A_0_l)   stellarity = 0.69   chisq2 = 56.08   ODDS = 0.59   z_cluster = 0.228