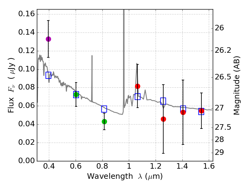
RXS0603+42-S IR detection object #2172

Color images and BPZ results
Catalog: 2172.cat
Black segments are analyzed here.   Roll mouse over color images to view segments.
Best viewed in a wide browser window (1200 pixels or more).   Download SED & P(z) plots to view larger versions.
In P(z) plots: Yellow lines mark the cluster redshift z = 0.228,  

Object #2172   x,y = (2175, 3474)   RA, Dec = (06:03:28.176, 42:10:54.84) = (90.86740, 42.18190)   BPZ = 1.584 [1.192--2.244]   type = 11.00 (SB11_A_0_l)   stellarity = 0.36   chisq2 = 1.40   ODDS = 0.34   z_cluster = 0.228