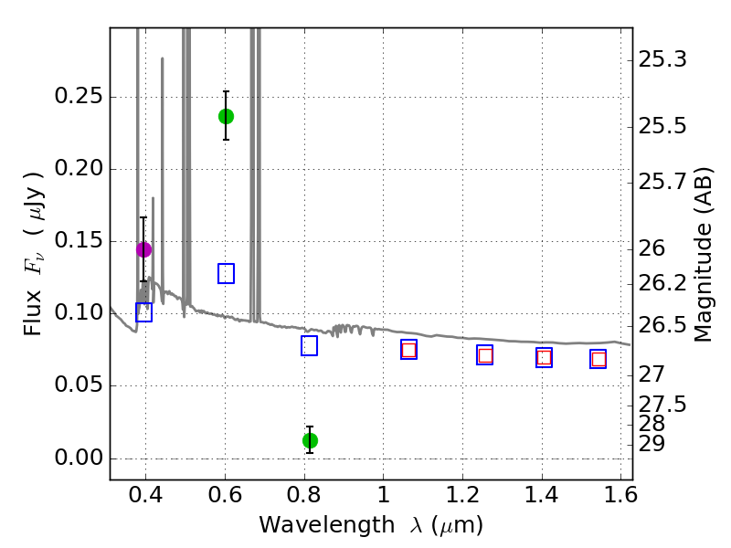
RXS0603+42-S IR detection object #2132

Color images and BPZ results
Catalog: 2132.cat
Black segments are analyzed here.   Roll mouse over color images to view segments.
Best viewed in a wide browser window (1200 pixels or more).   Download SED & P(z) plots to view larger versions.
In P(z) plots: Yellow lines mark the cluster redshift z = 0.228,  

Object #2132   x,y = (3703, 3483)   RA, Dec = (06:03:19.920, 42:10:55.20) = (90.83300, 42.18200)   BPZ = 0.020 [0.010--0.044]   type = 11.00 (SB11_A_0_l)   stellarity = 0.38   chisq2 = 65.58   ODDS = 0.99   z_cluster = 0.228