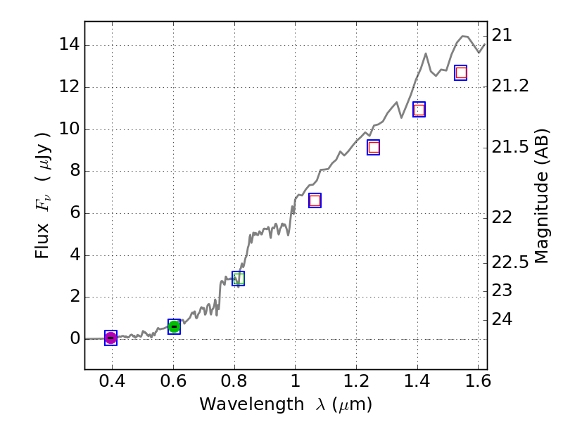
RXS0603+42-S IR detection object #2108

Color images and BPZ results
Catalog: 2108.cat
Black segments are analyzed here.   Roll mouse over color images to view segments.
Best viewed in a wide browser window (1200 pixels or more).   Download SED & P(z) plots to view larger versions.
In P(z) plots: Yellow lines mark the cluster redshift z = 0.228,  

Object #2108   x,y = (4083, 3494)   RA, Dec = (06:03:17.880, 42:10:55.92) = (90.82450, 42.18220)   BPZ = 0.890 [0.351--3.569]   type = 4.70 (ES0_B10 - Ell4_A_0)   stellarity = 0.69   chisq2 = 0.00   ODDS = 0.16   z_cluster = 0.228