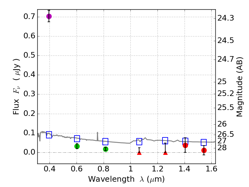
RXS0603+42-S IR detection object #1978

Color images and BPZ results
Catalog: 1978.cat
Black segments are analyzed here.   Roll mouse over color images to view segments.
Best viewed in a wide browser window (1200 pixels or more).   Download SED & P(z) plots to view larger versions.
In P(z) plots: Yellow lines mark the cluster redshift z = 0.228,  

Object #1978   x,y = (2467, 3573)   RA, Dec = (06:03:26.592, 42:11:00.60) = (90.86080, 42.18350)   BPZ = 1.698 [1.508--1.954]   type = 11.00 (SB11_A_0_l)   stellarity = 0.95   chisq2 = 107.60   ODDS = 0.71   z_cluster = 0.228