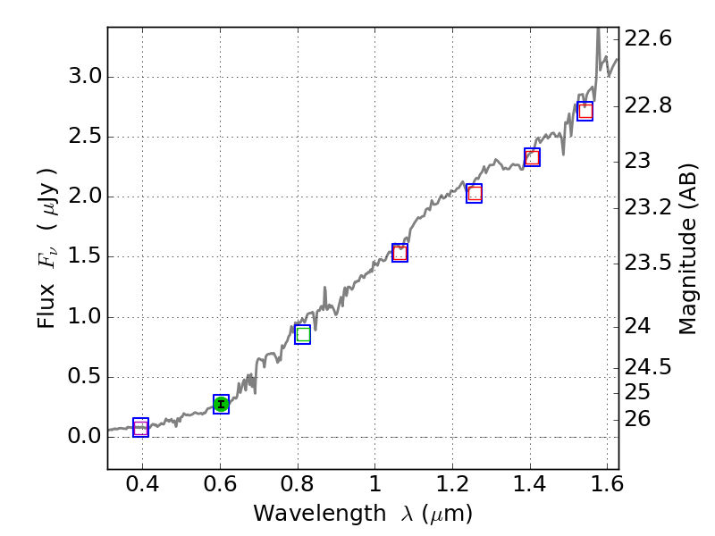
RXS0603+42-S IR detection object #1969

Color images and BPZ results
Catalog: 1969.cat
Black segments are analyzed here.   Roll mouse over color images to view segments.
Best viewed in a wide browser window (1200 pixels or more).   Download SED & P(z) plots to view larger versions.
In P(z) plots: Yellow lines mark the cluster redshift z = 0.228,  

Object #1969   x,y = (4508, 3507)   RA, Dec = (06:03:15.576, 42:10:56.64) = (90.81490, 42.18240)   BPZ = 0.745 [0.188--4.545]   type = 6.00 (Sbc_B10)   stellarity = 0.44   chisq2 = 990.00   ODDS = 0.09   z_cluster = 0.228