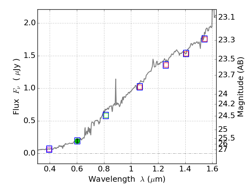
RXS0603+42-S IR detection object #1966

Color images and BPZ results
Catalog: 1966.cat
Black segments are analyzed here.   Roll mouse over color images to view segments.
Best viewed in a wide browser window (1200 pixels or more).   Download SED & P(z) plots to view larger versions.
In P(z) plots: Yellow lines mark the cluster redshift z = 0.228,  

Object #1966   x,y = (4493, 3462)   RA, Dec = (06:03:15.648, 42:10:54.12) = (90.81520, 42.18170)   BPZ = 0.774 [0.198--4.885]   type = 6.20 (Sbc_B10 - Scd_B10)   stellarity = 0.00   chisq2 = 990.00   ODDS = 0.08   z_cluster = 0.228