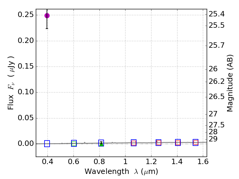
RXS0603+42-S IR detection object #1933

Color images and BPZ results
Catalog: 1933.cat
Black segments are analyzed here.   Roll mouse over color images to view segments.
Best viewed in a wide browser window (1200 pixels or more).   Download SED & P(z) plots to view larger versions.
In P(z) plots: Yellow lines mark the cluster redshift z = 0.228,  

Object #1933   x,y = (1410, 3562)   RA, Dec = (06:03:32.304, 42:10:59.88) = (90.88460, 42.18330)   BPZ = 0.368 [0.031--0.857]   type = 7.00 (Scd_B10)   stellarity = 0.90   chisq2 = 94.35   ODDS = 0.18   z_cluster = 0.228