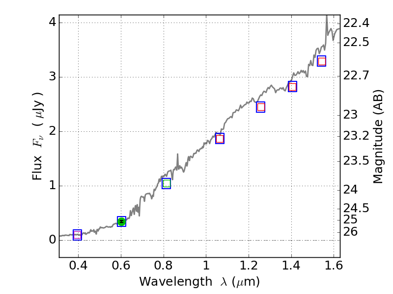
RXS0603+42-S IR detection object #1921

Color images and BPZ results
Catalog: 1921.cat
Black segments are analyzed here.   Roll mouse over color images to view segments.
Best viewed in a wide browser window (1200 pixels or more).   Download SED & P(z) plots to view larger versions.
In P(z) plots: Yellow lines mark the cluster redshift z = 0.228,  

Object #1921   x,y = (4395, 3565)   RA, Dec = (06:03:16.176, 42:11:00.24) = (90.81740, 42.18340)   BPZ = 0.730 [0.183--4.374]   type = 6.00 (Sbc_B10)   stellarity = 0.97   chisq2 = 990.00   ODDS = 0.09   z_cluster = 0.228