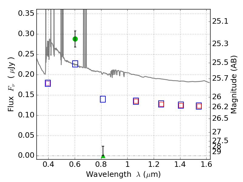
RXS0603+42-S IR detection object #190

Color images and BPZ results
Catalog: 190.cat
Black segments are analyzed here.   Roll mouse over color images to view segments.
Best viewed in a wide browser window (1200 pixels or more).   Download SED & P(z) plots to view larger versions.
In P(z) plots: Yellow lines mark the cluster redshift z = 0.228,  

Object #190   x,y = (2348, 4202)   RA, Dec = (06:03:27.240, 42:11:38.40) = (90.86350, 42.19400)   BPZ = 0.022 [0.010--0.051]   type = 11.00 (SB11_A_0_l)   stellarity = 0.00   chisq2 = 30.92   ODDS = 0.99   z_cluster = 0.228