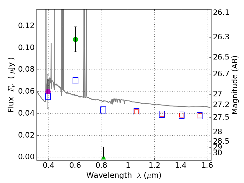
RXS0603+42-S IR detection object #1885

Color images and BPZ results
Catalog: 1885.cat
Black segments are analyzed here.   Roll mouse over color images to view segments.
Best viewed in a wide browser window (1200 pixels or more).   Download SED & P(z) plots to view larger versions.
In P(z) plots: Yellow lines mark the cluster redshift z = 0.228,  

Object #1885   x,y = (3906, 3573)   RA, Dec = (06:03:18.816, 42:11:00.60) = (90.82840, 42.18350)   BPZ = 0.025 [0.013--2.682]   type = 11.00 (SB11_A_0_l)   stellarity = 0.06   chisq2 = 26.59   ODDS = 0.34   z_cluster = 0.228