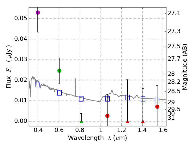
RXS0603+42-S IR detection object #1833

Color images and BPZ results
Catalog: 1833.cat
Black segments are analyzed here.   Roll mouse over color images to view segments.
Best viewed in a wide browser window (1200 pixels or more).   Download SED & P(z) plots to view larger versions.
In P(z) plots: Yellow lines mark the cluster redshift z = 0.228,  

Object #1833   x,y = (2831, 3595)   RA, Dec = (06:03:24.624, 42:11:02.04) = (90.85260, 42.18390)   BPZ = 1.700 [0.801--2.624]   type = 11.00 (SB11_A_0_l)   stellarity = 0.43   chisq2 = 6.36   ODDS = 0.26   z_cluster = 0.228