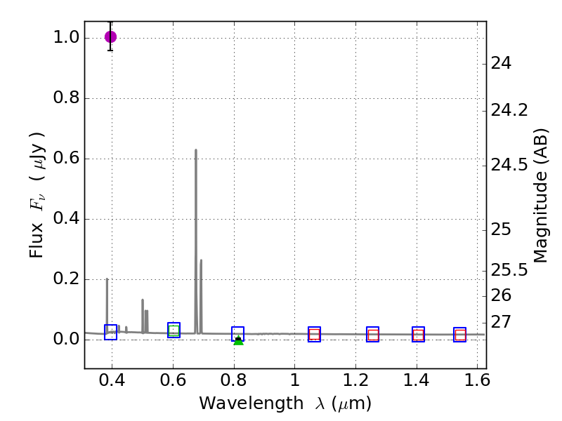
RXS0603+42-S IR detection object #1799

Color images and BPZ results
Catalog: 1799.cat
Black segments are analyzed here.   Roll mouse over color images to view segments.
Best viewed in a wide browser window (1200 pixels or more).   Download SED & P(z) plots to view larger versions.
In P(z) plots: Yellow lines mark the cluster redshift z = 0.228,  

Object #1799   x,y = (1459, 3611)   RA, Dec = (06:03:32.040, 42:11:03.12) = (90.88350, 42.18420)   BPZ = 0.027 [0.013--0.800]   type = 11.00 (SB11_A_0_l)   stellarity = 0.67   chisq2 = 452.60   ODDS = 0.37   z_cluster = 0.228