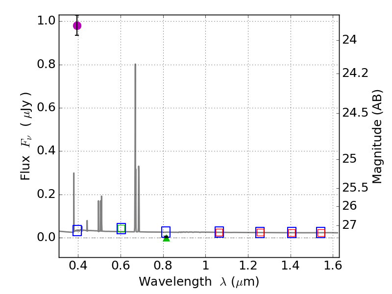
RXS0603+42-S IR detection object #1771

Color images and BPZ results
Catalog: 1771.cat
Black segments are analyzed here.   Roll mouse over color images to view segments.
Best viewed in a wide browser window (1200 pixels or more).   Download SED & P(z) plots to view larger versions.
In P(z) plots: Yellow lines mark the cluster redshift z = 0.228,  

Object #1771   x,y = (1473, 3627)   RA, Dec = (06:03:31.968, 42:11:03.84) = (90.88320, 42.18440)   BPZ = 0.025 [0.011--0.734]   type = 11.00 (SB11_A_0_l)   stellarity = 0.69   chisq2 = 409.20   ODDS = 0.60   z_cluster = 0.228