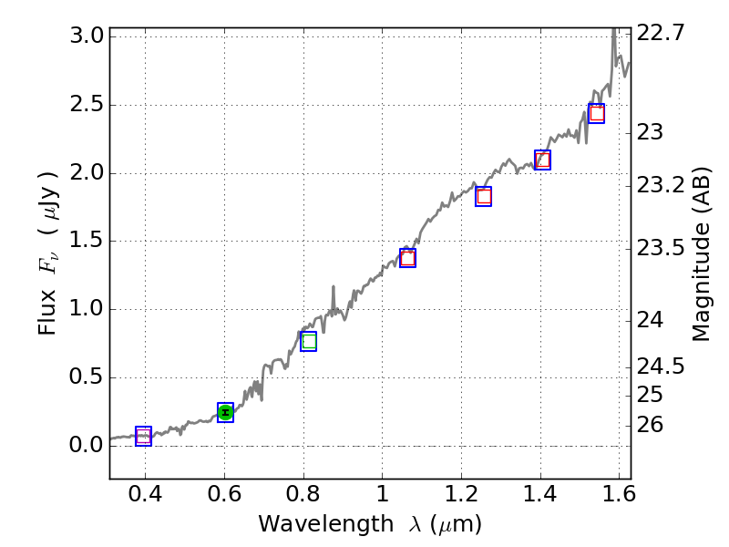
RXS0603+42-S IR detection object #1769

Color images and BPZ results
Catalog: 1769.cat
Black segments are analyzed here.   Roll mouse over color images to view segments.
Best viewed in a wide browser window (1200 pixels or more).   Download SED & P(z) plots to view larger versions.
In P(z) plots: Yellow lines mark the cluster redshift z = 0.228,  

Object #1769   x,y = (4287, 3627)   RA, Dec = (06:03:16.776, 42:11:03.84) = (90.81990, 42.18440)   BPZ = 0.752 [0.190--4.630]   type = 6.00 (Sbc_B10)   stellarity = 0.86   chisq2 = 990.00   ODDS = 0.08   z_cluster = 0.228