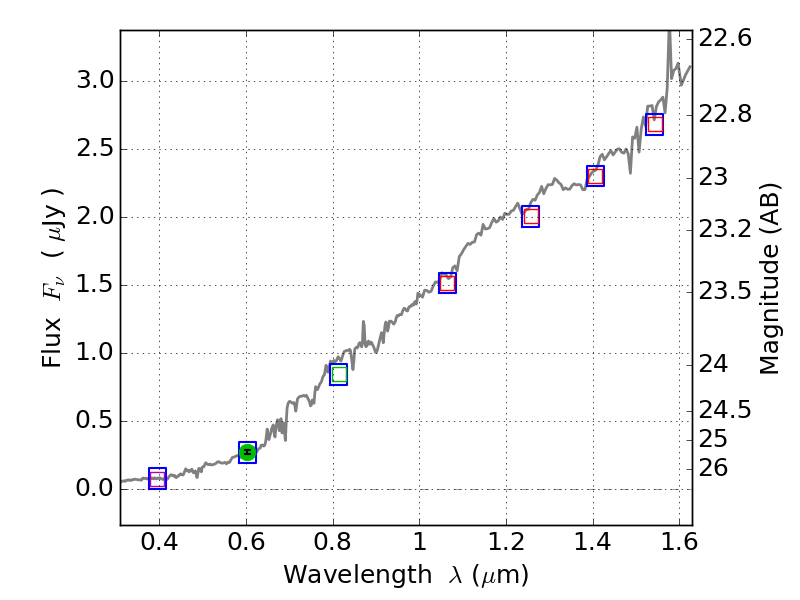
RXS0603+42-S IR detection object #1722

Color images and BPZ results
Catalog: 1722.cat
Black segments are analyzed here.   Roll mouse over color images to view segments.
Best viewed in a wide browser window (1200 pixels or more).   Download SED & P(z) plots to view larger versions.
In P(z) plots: Yellow lines mark the cluster redshift z = 0.228,  

Object #1722   x,y = (4459, 3642)   RA, Dec = (06:03:15.840, 42:11:04.92) = (90.81600, 42.18470)   BPZ = 0.745 [0.188--4.545]   type = 6.00 (Sbc_B10)   stellarity = 0.65   chisq2 = 990.00   ODDS = 0.09   z_cluster = 0.228