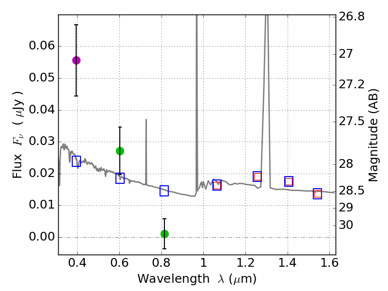
RXS0603+42-S IR detection object #1715

Color images and BPZ results
Catalog: 1715.cat
Black segments are analyzed here.   Roll mouse over color images to view segments.
Best viewed in a wide browser window (1200 pixels or more).   Download SED & P(z) plots to view larger versions.
In P(z) plots: Yellow lines mark the cluster redshift z = 0.228,  

Object #1715   x,y = (3475, 3644)   RA, Dec = (06:03:21.144, 42:11:04.92) = (90.83810, 42.18470)   BPZ = 1.597 [1.013--2.609]   type = 11.00 (SB11_A_0_l)   stellarity = 0.36   chisq2 = 16.41   ODDS = 0.22   z_cluster = 0.228