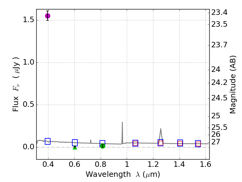
RXS0603+42-S IR detection object #1707

Color images and BPZ results
Catalog: 1707.cat
Black segments are analyzed here.   Roll mouse over color images to view segments.
Best viewed in a wide browser window (1200 pixels or more).   Download SED & P(z) plots to view larger versions.
In P(z) plots: Yellow lines mark the cluster redshift z = 0.228,  

Object #1707   x,y = (3978, 3647)   RA, Dec = (06:03:18.432, 42:11:05.28) = (90.82680, 42.18480)   BPZ = 1.590 [0.926--2.028]   type = 11.00 (SB11_A_0_l)   stellarity = 0.99   chisq2 = 729.90   ODDS = 0.25   z_cluster = 0.228