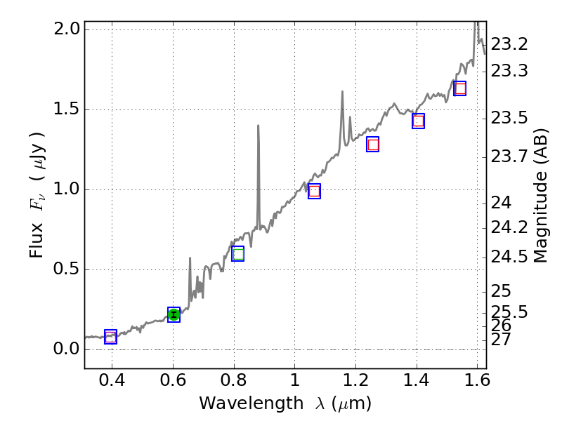
RXS0603+42-S IR detection object #1612

Color images and BPZ results
Catalog: 1612.cat
Black segments are analyzed here.   Roll mouse over color images to view segments.
Best viewed in a wide browser window (1200 pixels or more).   Download SED & P(z) plots to view larger versions.
In P(z) plots: Yellow lines mark the cluster redshift z = 0.228,  

Object #1612   x,y = (4342, 3661)   RA, Dec = (06:03:16.488, 42:11:06.00) = (90.81870, 42.18500)   BPZ = 0.759 [0.193--4.715]   type = 6.50 (Scd_B10 - Sbc_B10)   stellarity = 0.65   chisq2 = 990.00   ODDS = 0.08   z_cluster = 0.228