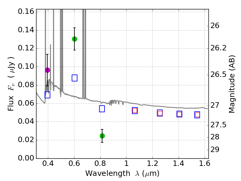
RXS0603+42-S IR detection object #1574

Color images and BPZ results
Catalog: 1574.cat
Black segments are analyzed here.   Roll mouse over color images to view segments.
Best viewed in a wide browser window (1200 pixels or more).   Download SED & P(z) plots to view larger versions.
In P(z) plots: Yellow lines mark the cluster redshift z = 0.228,  

Object #1574   x,y = (2263, 3675)   RA, Dec = (06:03:27.696, 42:11:06.72) = (90.86540, 42.18520)   BPZ = 0.022 [0.012--2.287]   type = 11.00 (SB11_A_0_l)   stellarity = 0.10   chisq2 = 22.37   ODDS = 0.37   z_cluster = 0.228