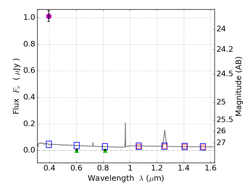
RXS0603+42-S IR detection object #1557

Color images and BPZ results
Catalog: 1557.cat
Black segments are analyzed here.   Roll mouse over color images to view segments.
Best viewed in a wide browser window (1200 pixels or more).   Download SED & P(z) plots to view larger versions.
In P(z) plots: Yellow lines mark the cluster redshift z = 0.228,  

Object #1557   x,y = (3861, 3680)   RA, Dec = (06:03:19.056, 42:11:07.08) = (90.82940, 42.18530)   BPZ = 1.594 [1.146--2.096]   type = 11.00 (SB11_A_0_l)   stellarity = 0.94   chisq2 = 608.70   ODDS = 0.35   z_cluster = 0.228