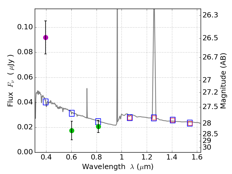
RXS0603+42-S IR detection object #1467

Color images and BPZ results
Catalog: 1467.cat
Black segments are analyzed here.   Roll mouse over color images to view segments.
Best viewed in a wide browser window (1200 pixels or more).   Download SED & P(z) plots to view larger versions.
In P(z) plots: Yellow lines mark the cluster redshift z = 0.228,  

Object #1467   x,y = (2454, 3857)   RA, Dec = (06:03:26.664, 42:11:17.88) = (90.86110, 42.18830)   BPZ = 1.593 [0.910--2.278]   type = 11.00 (SB11_A_0_l)   stellarity = 0.37   chisq2 = 18.14   ODDS = 0.24   z_cluster = 0.228