RXS0603+42-S IR detection object #1432

Color images and BPZ results
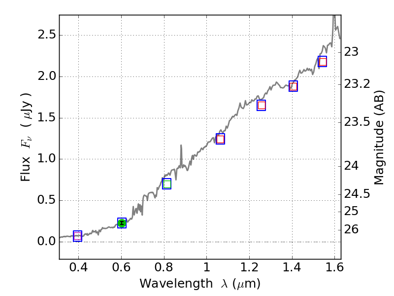
Catalog: 1432.cat
Black segments are analyzed here.   Roll mouse over color images to view segments.
Best viewed in a wide browser window (1200 pixels or more).   Download SED & P(z) plots to view larger versions.
In P(z) plots: Yellow lines mark the cluster redshift z = 0.228,  

Object #1432   x,y = (4033, 3733)   RA, Dec = (06:03:18.144, 42:11:10.32) = (90.82560, 42.18620)   BPZ = 0.759 [0.193--4.715]   type = 6.10 (Sbc_B10 - Scd_B10)   stellarity = 0.70   chisq2 = 990.00   ODDS = 0.08   z_cluster = 0.228