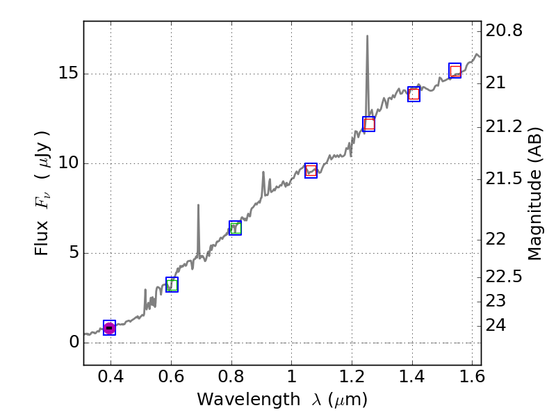
RXS0603+42-S IR detection object #143

Color images and BPZ results
Catalog: 143.cat
Black segments are analyzed here.   Roll mouse over color images to view segments.
Best viewed in a wide browser window (1200 pixels or more).   Download SED & P(z) plots to view larger versions.
In P(z) plots: Yellow lines mark the cluster redshift z = 0.228,  

Object #143   x,y = (1812, 4281)   RA, Dec = (06:03:30.120, 42:11:43.08) = (90.87550, 42.19530)   BPZ = 0.382 [0.051--0.865]   type = 6.30 (Sbc_B10 - Scd_B10)   stellarity = 0.77   chisq2 = 990.00   ODDS = 0.20   z_cluster = 0.228