RXS0603+42-S IR detection object #14

Color images and BPZ results
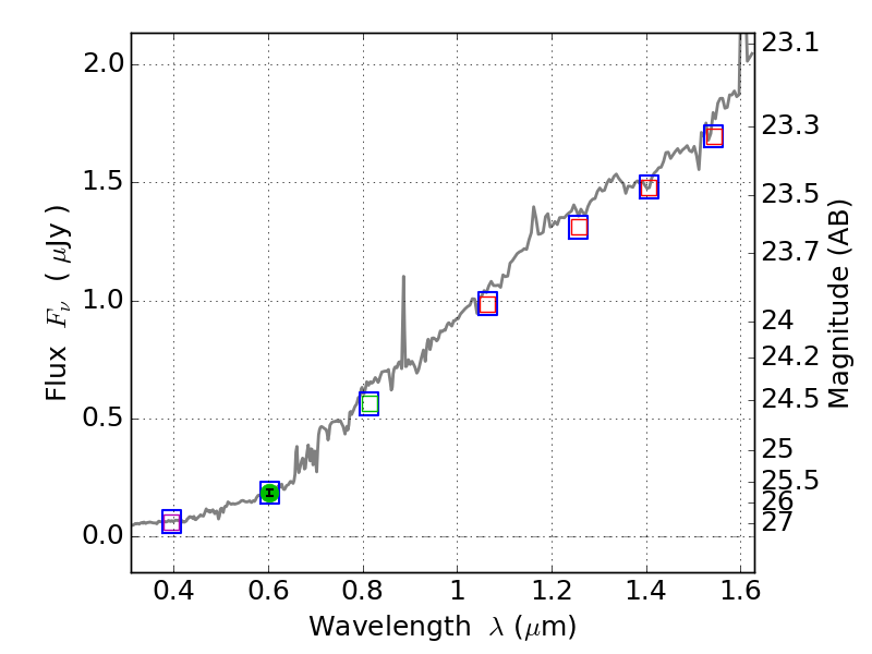
Catalog: 14.cat
Black segments are analyzed here.   Roll mouse over color images to view segments.
Best viewed in a wide browser window (1200 pixels or more).   Download SED & P(z) plots to view larger versions.
In P(z) plots: Yellow lines mark the cluster redshift z = 0.228,  

Object #14   x,y = (1970, 4380)   RA, Dec = (06:03:29.280, 42:11:49.20) = (90.87200, 42.19700)   BPZ = 0.774 [0.198--4.885]   type = 6.20 (Sbc_B10 - Scd_B10)   stellarity = 0.98   chisq2 = 990.00   ODDS = 0.08   z_cluster = 0.228