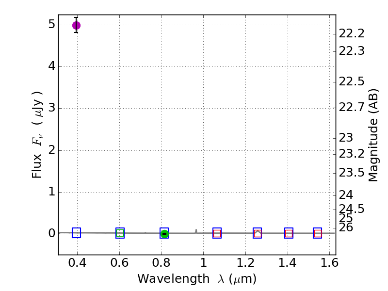
RXS0603+42-S IR detection object #1380

Color images and BPZ results
Catalog: 1380.cat
Black segments are analyzed here.   Roll mouse over color images to view segments.
Best viewed in a wide browser window (1200 pixels or more).   Download SED & P(z) plots to view larger versions.
In P(z) plots: Yellow lines mark the cluster redshift z = 0.228,  

Object #1380   x,y = (1471, 3746)   RA, Dec = (06:03:31.968, 42:11:11.04) = (90.88320, 42.18640)   BPZ = 1.594 [0.386--9.185]   type = 11.00 (SB11_A_0_l)   stellarity = 0.92   chisq2 = 759.20   ODDS = 0.07   z_cluster = 0.228