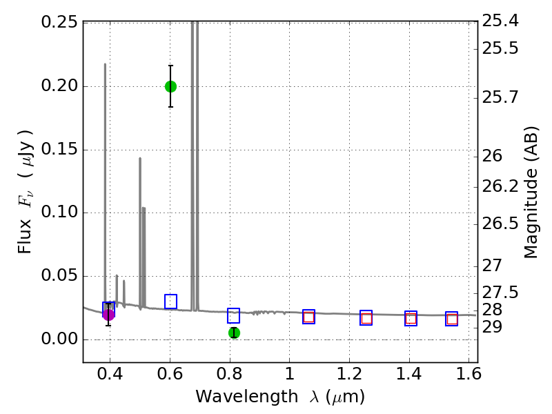
RXS0603+42-S IR detection object #1372

Color images and BPZ results
Catalog: 1372.cat
Black segments are analyzed here.   Roll mouse over color images to view segments.
Best viewed in a wide browser window (1200 pixels or more).   Download SED & P(z) plots to view larger versions.
In P(z) plots: Yellow lines mark the cluster redshift z = 0.228,  

Object #1372   x,y = (1695, 3750)   RA, Dec = (06:03:30.768, 42:11:11.40) = (90.87820, 42.18650)   BPZ = 0.027 [0.027--2.984]   type = 11.00 (SB11_A_0_l)   stellarity = 0.51   chisq2 = 115.50   ODDS = 0.06   z_cluster = 0.228