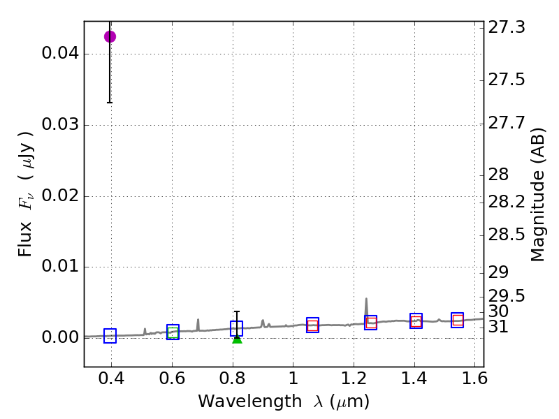
RXS0603+42-S IR detection object #1366

Color images and BPZ results
Catalog: 1366.cat
Black segments are analyzed here.   Roll mouse over color images to view segments.
Best viewed in a wide browser window (1200 pixels or more).   Download SED & P(z) plots to view larger versions.
In P(z) plots: Yellow lines mark the cluster redshift z = 0.228,  

Object #1366   x,y = (1697, 3858)   RA, Dec = (06:03:30.744, 42:11:17.88) = (90.87810, 42.18830)   BPZ = 0.375 [0.032--0.857]   type = 7.00 (Scd_B10)   stellarity = 0.36   chisq2 = 20.14   ODDS = 0.18   z_cluster = 0.228