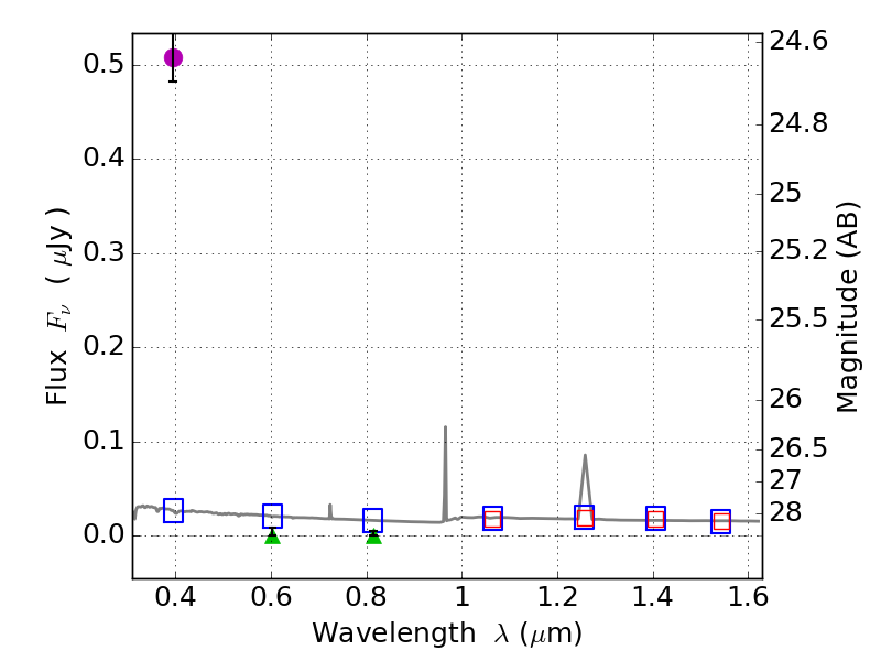
RXS0603+42-S IR detection object #1333

Color images and BPZ results
Catalog: 1333.cat
Black segments are analyzed here.   Roll mouse over color images to view segments.
Best viewed in a wide browser window (1200 pixels or more).   Download SED & P(z) plots to view larger versions.
In P(z) plots: Yellow lines mark the cluster redshift z = 0.228,  

Object #1333   x,y = (3320, 3864)   RA, Dec = (06:03:21.984, 42:11:18.24) = (90.84160, 42.18840)   BPZ = 1.595 [1.083--2.449]   type = 11.00 (SB11_A_0_l)   stellarity = 0.82   chisq2 = 353.70   ODDS = 0.29   z_cluster = 0.228