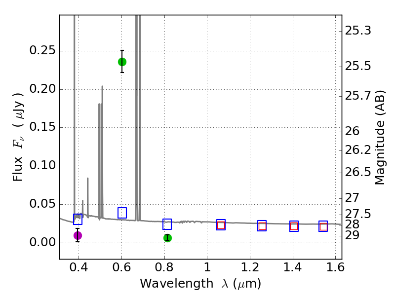
RXS0603+42-S IR detection object #1326

Color images and BPZ results
Catalog: 1326.cat
Black segments are analyzed here.   Roll mouse over color images to view segments.
Best viewed in a wide browser window (1200 pixels or more).   Download SED & P(z) plots to view larger versions.
In P(z) plots: Yellow lines mark the cluster redshift z = 0.228,  

Object #1326   x,y = (1704, 3770)   RA, Dec = (06:03:30.720, 42:11:12.48) = (90.87800, 42.18680)   BPZ = 0.024 [0.011--3.066]   type = 11.00 (SB11_A_0_l)   stellarity = 0.65   chisq2 = 198.70   ODDS = 0.66   z_cluster = 0.228