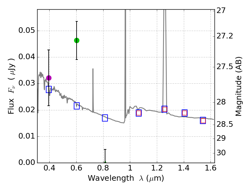
RXS0603+42-S IR detection object #1260

Color images and BPZ results
Catalog: 1260.cat
Black segments are analyzed here.   Roll mouse over color images to view segments.
Best viewed in a wide browser window (1200 pixels or more).   Download SED & P(z) plots to view larger versions.
In P(z) plots: Yellow lines mark the cluster redshift z = 0.228,  

Object #1260   x,y = (1986, 3795)   RA, Dec = (06:03:29.184, 42:11:13.92) = (90.87160, 42.18720)   BPZ = 1.595 [0.397--2.790]   type = 11.00 (SB11_A_0_l)   stellarity = 0.36   chisq2 = 21.17   ODDS = 0.20   z_cluster = 0.228