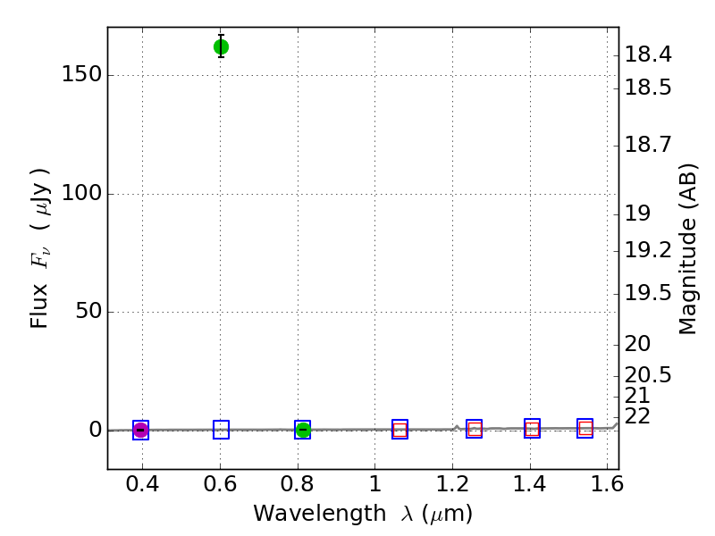
RXS0603+42-S IR detection object #1194

Color images and BPZ results
Catalog: 1194.cat
Black segments are analyzed here.   Roll mouse over color images to view segments.
Best viewed in a wide browser window (1200 pixels or more).   Download SED & P(z) plots to view larger versions.
In P(z) plots: Yellow lines mark the cluster redshift z = 0.228,  

Object #1194   x,y = (3228, 3761)   RA, Dec = (06:03:22.488, 42:11:12.12) = (90.84370, 42.18670)   BPZ = 2.255 [0.121--3.004]   type = 9.00 (SB2_B10)   stellarity = 1.00   chisq2 = 1142.00   ODDS = 0.17   z_cluster = 0.228