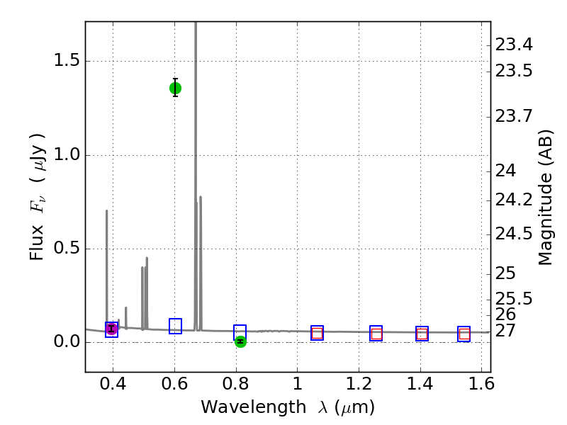
RXS0603+42-S IR detection object #1174

Color images and BPZ results
Catalog: 1174.cat
Black segments are analyzed here.   Roll mouse over color images to view segments.
Best viewed in a wide browser window (1200 pixels or more).   Download SED & P(z) plots to view larger versions.
In P(z) plots: Yellow lines mark the cluster redshift z = 0.228,  

Object #1174   x,y = (1728, 3829)   RA, Dec = (06:03:30.576, 42:11:16.08) = (90.87740, 42.18780)   BPZ = 0.020 [0.010--1.511]   type = 11.00 (SB11_A_0_l)   stellarity = 0.76   chisq2 = 801.40   ODDS = 0.97   z_cluster = 0.228