RXS0603+42-S IR detection object #113

Color images and BPZ results
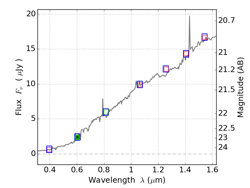
Catalog: 113.cat
Black segments are analyzed here.   Roll mouse over color images to view segments.
Best viewed in a wide browser window (1200 pixels or more).   Download SED & P(z) plots to view larger versions.
In P(z) plots: Yellow lines mark the cluster redshift z = 0.228,  

Object #113   x,y = (2304, 4294)   RA, Dec = (06:03:27.480, 42:11:43.80) = (90.86450, 42.19550)   BPZ = 0.580 [0.131--2.583]   type = 6.20 (Sbc_B10 - Scd_B10)   stellarity = 0.92   chisq2 = 990.00   ODDS = 0.12   z_cluster = 0.228