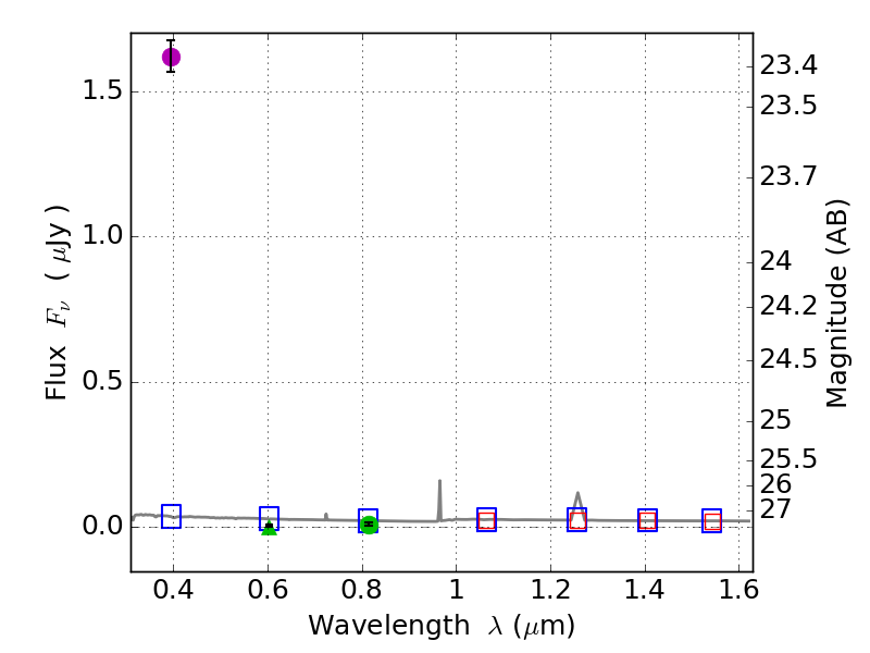
RXS0603+42-S IR detection object #1127

Color images and BPZ results
Catalog: 1127.cat
Black segments are analyzed here.   Roll mouse over color images to view segments.
Best viewed in a wide browser window (1200 pixels or more).   Download SED & P(z) plots to view larger versions.
In P(z) plots: Yellow lines mark the cluster redshift z = 0.228,  

Object #1127   x,y = (3364, 3850)   RA, Dec = (06:03:21.744, 42:11:17.16) = (90.84060, 42.18810)   BPZ = 1.594 [0.990--2.220]   type = 11.00 (SB11_A_0_l)   stellarity = 0.98   chisq2 = 817.80   ODDS = 0.28   z_cluster = 0.228