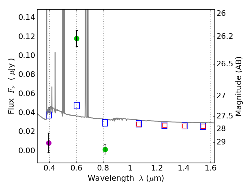
RXS0603+42-S IR detection object #1091

Color images and BPZ results
Catalog: 1091.cat
Black segments are analyzed here.   Roll mouse over color images to view segments.
Best viewed in a wide browser window (1200 pixels or more).   Download SED & P(z) plots to view larger versions.
In P(z) plots: Yellow lines mark the cluster redshift z = 0.228,  

Object #1091   x,y = (2171, 3873)   RA, Dec = (06:03:28.200, 42:11:18.60) = (90.86750, 42.18850)   BPZ = 0.022 [0.010--2.694]   type = 11.00 (SB11_A_0_l)   stellarity = 0.48   chisq2 = 90.78   ODDS = 0.96   z_cluster = 0.228